Statutory Declaration Template Australia - TOPSTERN
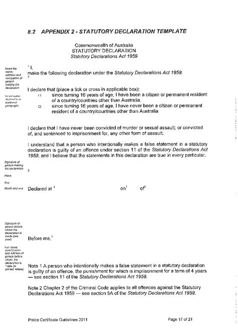
You can download a blank PDF or Word version of the Commonwealth statutory declaration form, or fill in your details below to generate a pre-populated PDF statutory declaration. I believe that the statements in this declaration are true in every particular, and I understand that a person who intentionally makes a false statement in a statutory declaration is guilty of an offence. Feb 3, 2025Β Β· Download the statutory declaration form. The notes in the left-hand margin of the formβand the information in this guideβwill help you make a statutory declaration. This form can be.
4 days agoΒ Β· You can create and download a digital Commonwealth statutory declaration in English using the myGov website or the myGov app. We use Digital ID to verify your identity and ensure your. Use this form to complete a statutory declaration. Statutory declarations can be signed in person, using electronic signatures or witnessed online by audiovisual link, see requirements. For more. I understand that a person who intentionally makes a false statement in a statutory declaration is guilty of an offence under section 11 of the Statutory Declarations Act 1959, and I believe that the. If you need to make a statutory declaration, find out how to download and complete the document, prove your identity, and find an authorised witness. Download the form to make a Commonwealth statutory declaration with a witness, either in-person or remotely via video link: Learn how to complete this form on making a Commonwealth statutory.
Download the form to make a Commonwealth statutory declaration with a witness, either in-person or remotely via video link: Learn how to complete this form on making a Commonwealth statutory.
π Related Articles You Might Like:
Knorr Bremse Exklusive Details Zum Dreistelligen Stellenabbau Jetzt Lesen Employee Engagement Certification India Jonbenet Ramsey Autopsy The One Detail That Still Haunts InvestigatorsπΈ Image Gallery
π Continue Reading:
Balance Vs Agility The Fitness Myth Thats Holding You Back Massachusetts Eviction Notice Template